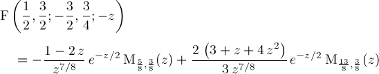
Page 161