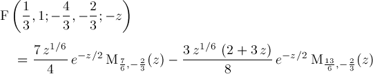
Page 83