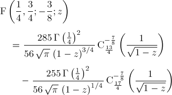
Page 213