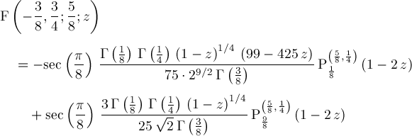
Up
Page 131