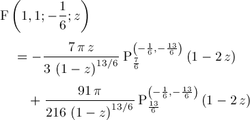
Page 181