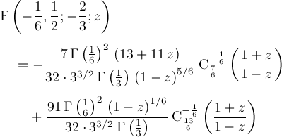
Page 119