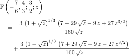
Page 37