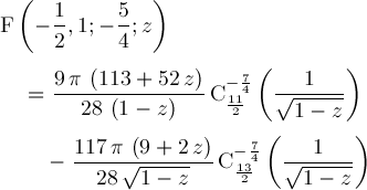
Page 79