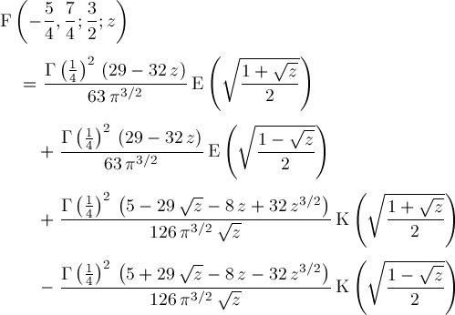
Page 65