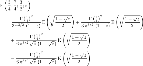
Page 136