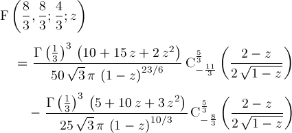
Up
Page 220