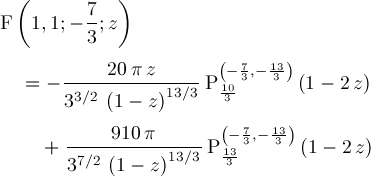
Page 169