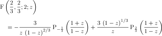
Page 158