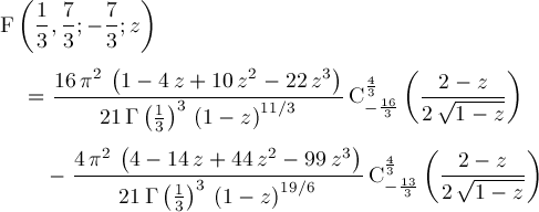
Page 152