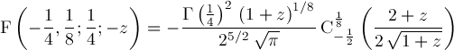
Page 127