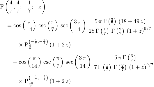
Page 70