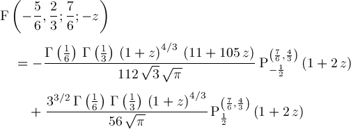
Page 50