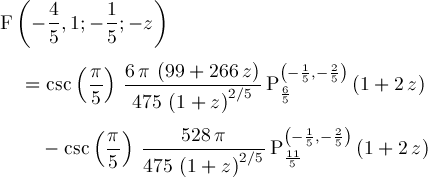
Up
Page 86