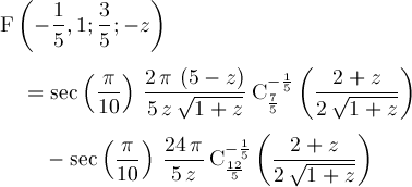
Page 155