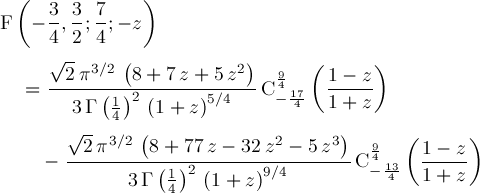
Page 101