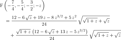
Up
Page 16