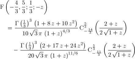
Up
Page 81