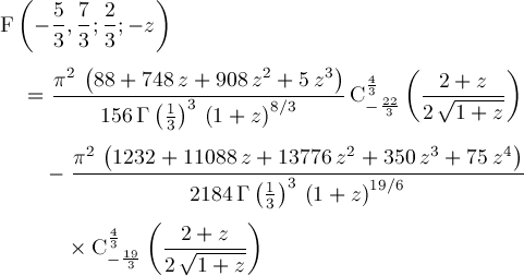
Up
Page 66