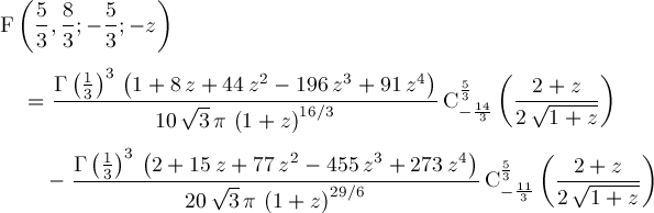
Up
Page 169