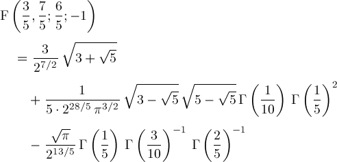
Page 131