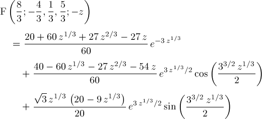
Page 103