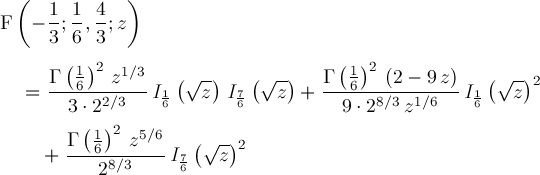
Page 47