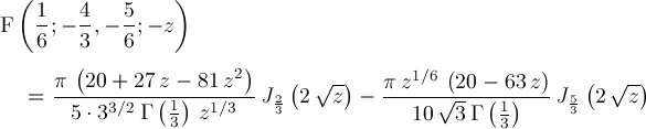
Page 60