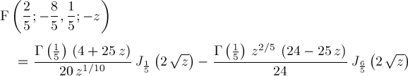
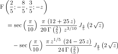
Up
Page 31