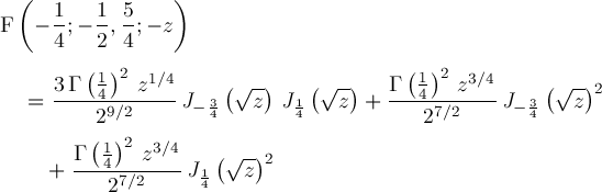
Page 75