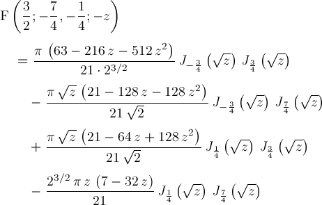
Page 160