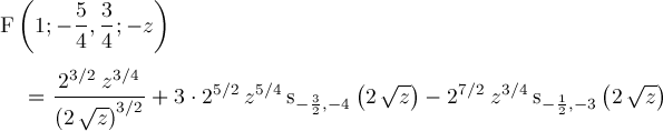
Page 130