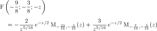
Page 18