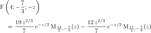
Page 54