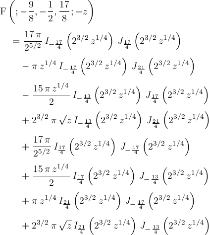
Page 265