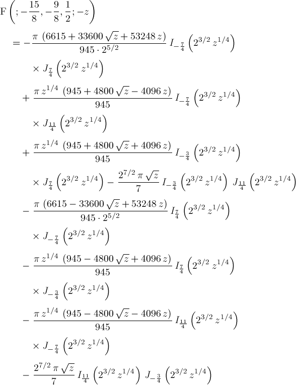
Page 113