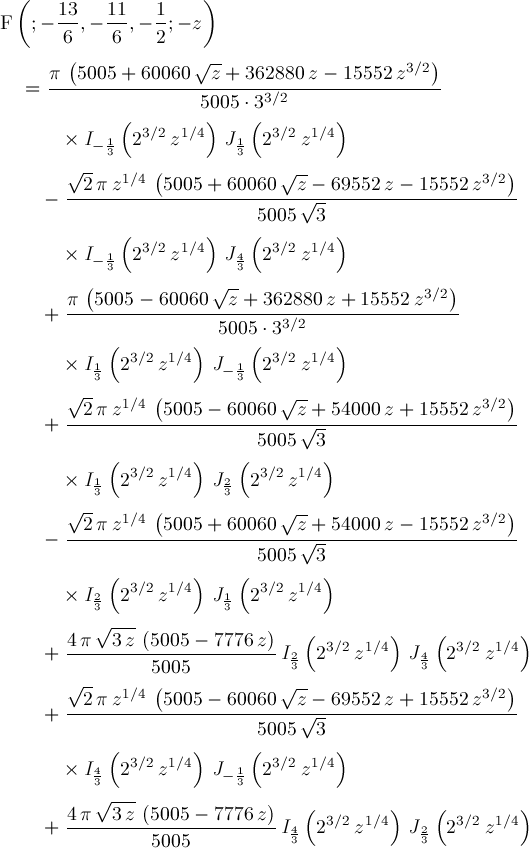
Up
Page 68