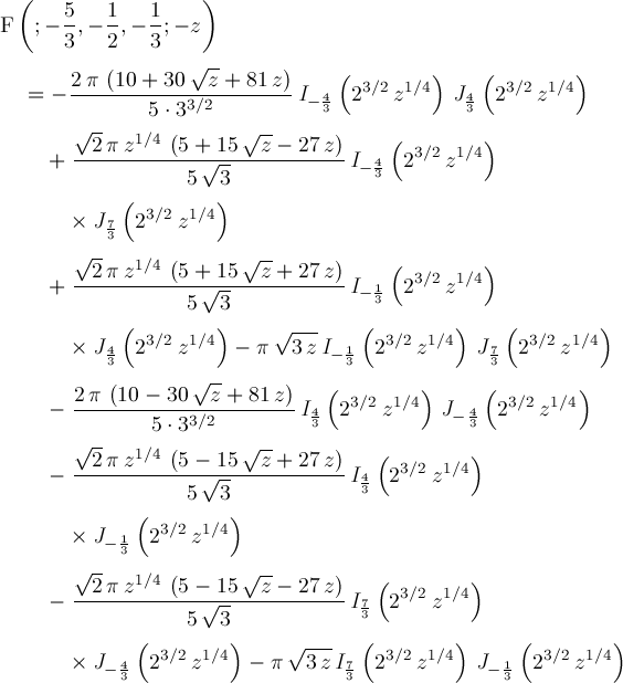
Up
Page 158