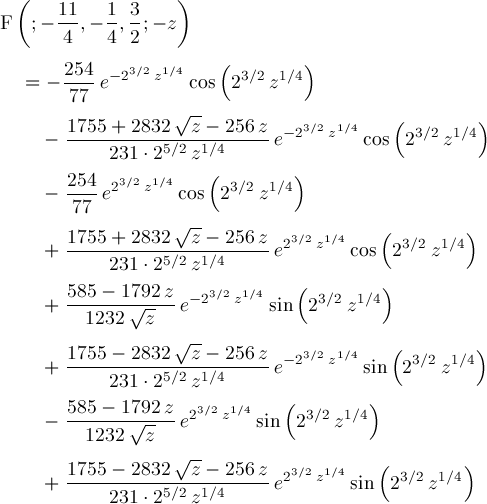
Page 108