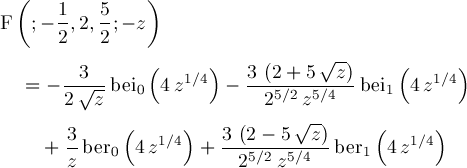
Up
Page 132