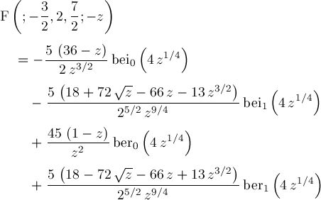
Up
Page 104